在线拍卖
|
给我留言
|
联系我们
首页
公司简介
拍卖公告
行业资讯
拍品展示
拍卖菁英
网上拍卖
我要委托
拍卖公告
拍卖公告
行业资讯
法律法规
拍卖知识
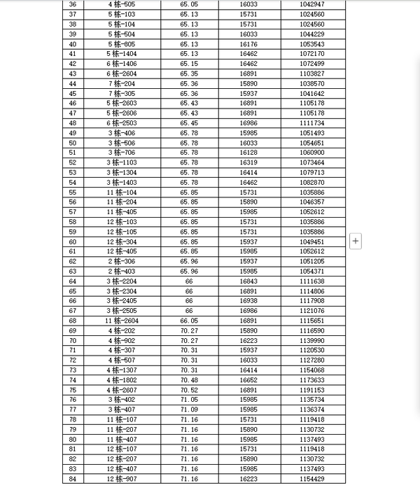
当前位置:首页 > 拍卖公告 > 青岛市市北区瑞昌路141号、长沙路45号、李沧区功德坊路20号房产一宗拍卖公告
青岛市市北区瑞昌路141号、长沙路45号、李沧区功德坊路20号房产一宗拍卖公告
[2026-01-12]